Hello,
Just trying out intervals.icu for a tool to reboot my running - seems like a great tool.
I enjoy just to recording my intervals, tempo runs etc to make comparison of those easier as warmup and cool down differs and are less important to me at least. Thus, to get started, I created a simple workout as
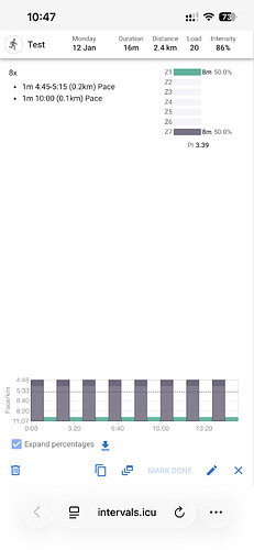
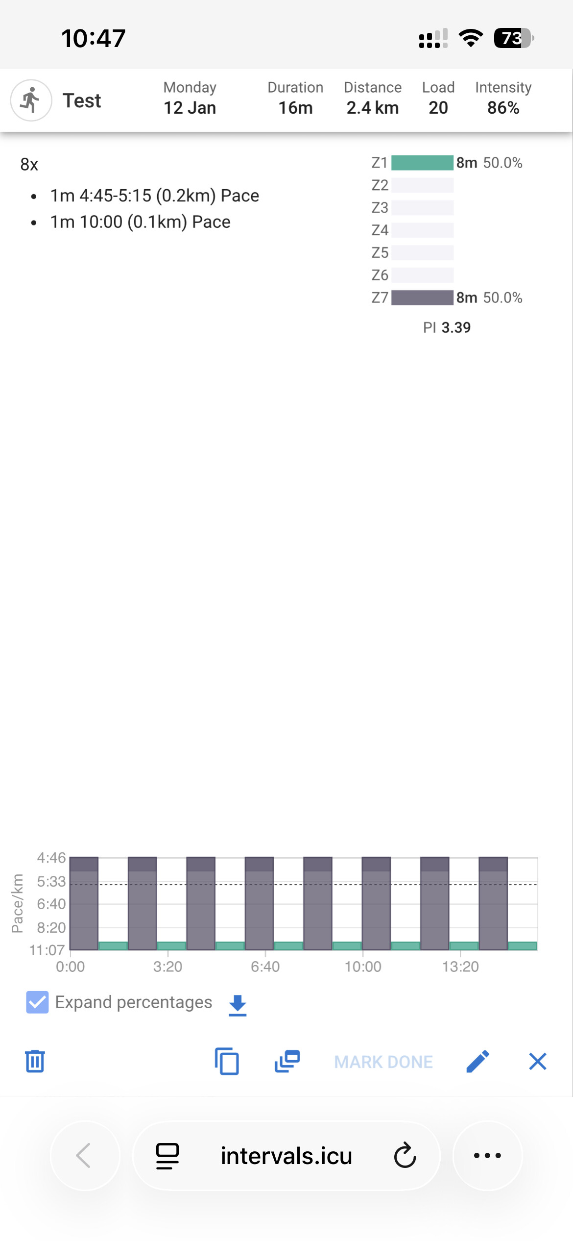
8x
-1m 4.45-5.15/km pace
-1m recovery
I’m using this guide: Specify workouts using absolute pace
That’s it for my simple interval session. I record the warmup and cooldown just using the run function on my watch as separate sessions. It upload to the calendar and the workout syncs to my garmin connect calendar and watch. However the pace doesn’t show up in either the garmin connect calendar or when I want to do the workout using my forerunner 235.
Is it possible to use intervals.icu to create a pace based interval running workout, have it sync to garmin and use my watch to help me adjust the pace during the workout? Am I doing something wrong?
My goal is to simply track my progression across similar sessions (similar intervals, tempo runs etc). I’m open for easier solutions to this also.
I’m unsure if this should be a bug report or a feature request. I’m happy to repost in another forum.
Oh, and jokes about my old watch are welcome.
Thank you in advance.
Bw,
Kristian

